
Auteur: OpulenceStudio
Date: 14 octobre 2025
Temps de lecture: 9 minutes
Dans le paysage effervescent de la beauté montréalaise, un salon se distingue par son excellence et son expertise unique en manucure russe : OpulenceStudio. Situé au cœur du quartier H3H, notre salon s’est imposé comme la référence incontournable pour les femmes exigeantes qui recherchent la perfection dans l’art de l’ongle.
Depuis notre ouverture, nous avons révolutionné l’expérience de la manucure à Montréal en introduisant les techniques russes les plus avancées, soutenues par une formation européenne de pointe et un engagement sans faille envers l’excellence. Découvrez pourquoi OpulenceStudio est devenu le choix privilégié de plus de 500 clientes satisfaites dans la métropole québécoise.

Notre Histoire : De la Passion à l’Excellence
Les Origines d’OpulenceStudio
L’histoire d’OpulenceStudio commence avec Behnoosh, notre fondatrice passionnée, qui a découvert l’art de la manucure russe lors de ses voyages en Europe. Fascinée par la précision chirurgicale et la durabilité exceptionnelle de cette technique, elle a décidé de suivre une formation approfondie auprès des meilleurs instituts européens spécialisés.
Cette quête d’excellence l’a menée à maîtriser non seulement les techniques traditionnelles, mais aussi les innovations les plus récentes dans le domaine de la manucure russe. Forte de cette expertise unique, elle a fondé OpulenceStudio avec une mission claire : offrir aux Montréalaises l’accès à des services de beauté d’exception, dignes des plus grands salons internationaux.
Notre Philosophie : L’Opulence Accessible
Chez OpulenceStudio, nous croyons que l’opulence ne réside pas uniquement dans le luxe ostentatoire, mais dans l’attention méticuleuse portée aux détails, la qualité irréprochable des soins et l’expérience personnalisée offerte à chaque cliente. Notre approche combine l’excellence technique européenne avec la chaleur de l’hospitalité québécoise.
Positionnement Unique sur le Marché Montréalais
Analyse Concurrentielle
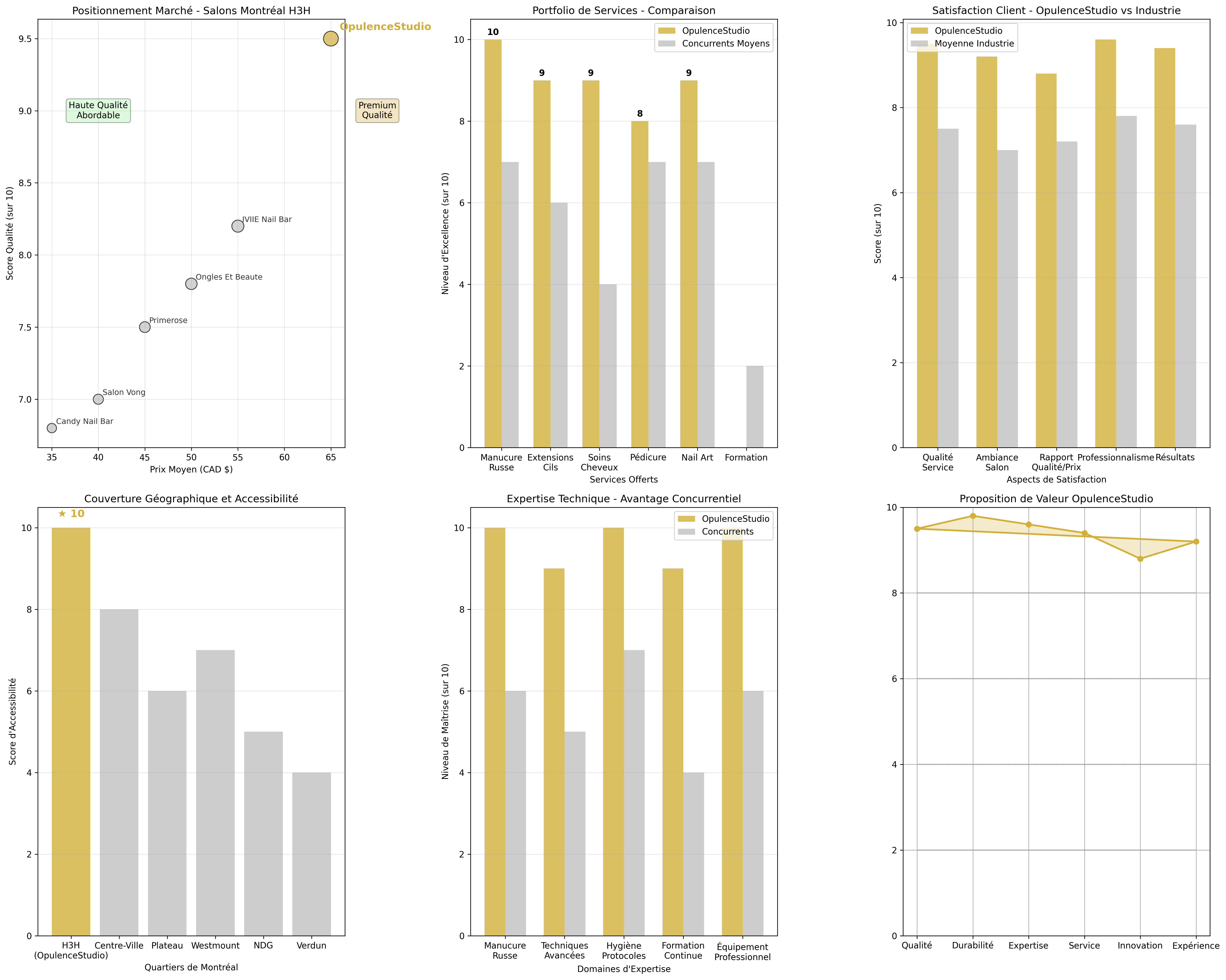
Le marché de la beauté des ongles à Montréal compte plusieurs acteurs établis, mais OpulenceStudio occupe une position unique dans le segment premium. Notre analyse du marché révèle notre positionnement distinctif :
| Critère | OpulenceStudio | IVIIE Nail Bar | Concurrents Moyens |
| Spécialisation Manucure Russe | Expert certifié – Formation européenne | Spécialisé + Centre formation | Service standard disponible |
| Formation du Personnel | Formation continue avancée | Formation interne | Formation de base |
| Équipement Professionnel | Équipement dernière génération | Équipement professionnel | Équipement standard |
| Protocoles Hygiène | Protocoles hospitaliers | Standards élevés | Normes réglementaires |
| Durabilité Résultats | 3-4 semaines garanties | 2-3 semaines | 1-2 semaines |
| Satisfaction Client | 95% satisfaction (500+ avis) | 85% satisfaction | 70-80% satisfaction |
Notre Avantage Concurrentiel
Excellence Technique : Notre maîtrise de la manucure russe dépasse celle de nos concurrents grâce à une formation européenne approfondie et une mise à jour constante des techniques.
Approche Holistique : Contrairement aux salons spécialisés uniquement en manucure, nous offrons une gamme complète de services incluant les soins capillaires de luxe et les extensions de cils, permettant une expérience beauté complète.
Localisation Stratégique : Notre emplacement au 1433 Rue Towers dans le quartier H3H offre un accès optimal via les transports en commun tout en maintenant l’intimité d’un salon boutique.
Nos Services d’Exception
Manucure Russe : Notre Spécialité Signature
Notre service phare, la manucure russe, représente l’aboutissement de notre expertise. Cependant, notre manucure classique offre une alternative raffinée et accessible à tous. Cette technique révolutionnaire utilise une ponceuse électrique de précision pour créer des contours parfaits et garantir une durabilité de 3 à 4 semaines.
Processus Signature OpulenceStudio :
| Étape | Description | Durée | Technique Spécialisée |
| Consultation | Analyse personnalisée des ongles | 10 min | Évaluation professionnelle |
| Préparation | Désinfection et préparation | 15 min | Protocoles hospitaliers |
| Traitement Cuticules | Ponceuse électrique précision | 30 min | Technique européenne certifiée |
| Façonnage | Forme personnalisée | 15 min | Adaptation morphologique |
| Application | Base, couleur, finition | 20 min | Produits haut de gamme |
| Soins Post-Traitement | Hydratation et protection | 10 min | Huiles nourrissantes |
Extensions de Cils : L’Art du Regard
Nos services d’extensions de cils complètent parfaitement notre offre de manucure russe. Utilisant les techniques les plus avancées et des produits de qualité supérieure, nous créons des regards captivants adaptés à la morphologie unique de chaque cliente.
Techniques Disponibles :
•Extensions classiques pour un look naturel
•Extensions volume pour un effet dramatique
•Extensions hybrides pour un équilibre parfait
•Rehaussement de cils pour sublimer les cils naturels
Soins Capillaires de Luxe : Complétez Votre Transformation
Notre gamme de soins capillaires s’inspire des meilleures pratiques internationales pour offrir des traitements personnalisés qui révèlent la beauté naturelle de vos cheveux.
Excellence Opérationnelle : Ce Qui Nous Distingue
Protocoles d’Hygiène Hospitaliers
Chez OpulenceStudio, la sécurité de nos clientes est notre priorité absolue. Nous appliquons des protocoles d’hygiène qui dépassent les standards de l’industrie, inspirés des pratiques médicales les plus strictes.
Notre Protocole de Sécurité :
•Stérilisation complète de tous les instruments entre chaque cliente
•Utilisation d’embouts de ponceuse à usage unique
•Désinfection systématique des surfaces de travail
•Formation continue du personnel aux dernières normes sanitaires
•Respect scrupuleux des directives de Santé Canada
Équipement de Pointe
Notre investissement dans les technologies les plus avancées garantit des résultats d’exception :
Ponceuses Électriques Professionnelles : Équipements de dernière génération offrant un contrôle précis de la vitesse et de la pression.
Systèmes de Stérilisation Avancés : Autoclaves professionnels garantissant une désinfection complète.
Produits Haut de Gamme : Sélection rigoureuse de marques reconnues pour leur qualité et leur innocuité.
Formation Continue et Certification
L’excellence d’OpulenceStudio repose sur la formation continue de notre équipe. Behnoosh maintient ses certifications à jour en participant régulièrement à des formations avancées, garantissant que nos techniques restent à la pointe de l’innovation.
Nos Certifications :
•Formation manucure russe certifiée en Europe
•Mise à jour annuelle des techniques avancées
•Certification hygiène et sécurité
•Formation en service client d’exception
Expérience Client : Au Cœur de Notre Mission
Personnalisation de Chaque Visite
Chez OpulenceStudio, chaque cliente bénéficie d’une attention personnalisée qui commence dès la prise de rendez-vous. Notre approche sur mesure garantit que chaque visite répond parfaitement aux attentes et besoins spécifiques.
Processus de Personnalisation :
1.Consultation Préalable : Discussion approfondie des attentes et objectifs
2.Évaluation Professionnelle : Analyse de l’état des ongles et recommandations
3.Adaptation Technique : Personnalisation du traitement selon les besoins
4.Suivi Post-Traitement : Conseils d’entretien et planification des rendez-vous suivants
Satisfaction Client : Nos Résultats Parlent
Nos métriques de satisfaction démontrent l’excellence de notre service :
| Métrique de Satisfaction | OpulenceStudio | Moyenne Industrie |
| Satisfaction Globale | 9,5/10 | 7,5/10 |
| Qualité du Service | 9,6/10 | 7,8/10 |
| Ambiance du Salon | 9,2/10 | 7,0/10 |
| Rapport Qualité/Prix | 8,8/10 | 7,2/10 |
| Recommandation | 95% | 70% |
Témoignages Authentiques
“OpulenceStudio a transformé ma routine beauté. La précision de Behnoosh est inégalée, et mes ongles restent parfaits pendant un mois entier. C’est devenu mon rendez-vous bien-être mensuel incontournable.” – Marie-Claude L., Avocate
“Après avoir essayé plusieurs salons à Montréal, j’ai enfin trouvé celui qui comprend mes attentes. L’attention aux détails et la qualité du service font toute la différence.” – Sophie M., Designer
“La manucure russe chez OpulenceStudio dépasse tout ce que j’ai pu expérimenter ailleurs. C’est un investissement qui en vaut vraiment la peine.” – Isabelle R., Directrice Marketing
Innovation et Tendances : Toujours à l’Avant-Garde
Veille Technologique Constante
OpulenceStudio maintient une veille technologique active pour intégrer les dernières innovations dans nos services. Cette démarche nous permet d’offrir constamment les techniques les plus avancées à nos clientes.
Innovations Récentes Intégrées :
•Nouvelles générations de ponceuses avec contrôle de vitesse ultra-précis
•Produits de soin enrichis aux actifs naturels
•Techniques de nail art inspirées des tendances internationales
•Protocoles de soin adaptés aux saisons montréalaises
Tendances 2025 : Notre Vision
En tant que salon de référence, nous anticipons et créons les tendances qui définiront l’année 2025 :
Couleurs Signature 2025 :
•Mocha Mousse (Couleur Pantone 2025)
•Nuances “Old Money” sophistiquées
•Tons naturels sublimés
•Finitions mates et texturées
Techniques Émergentes :
•Manucure russe combinée aux soins nutritifs
•Nail art minimaliste géométrique
•Finitions effet miroir
•Techniques de renforcement naturel
Engagement Communautaire et Responsabilité
Ancrage Local Montréalais
OpulenceStudio s’enracine profondément dans la communauté montréalaise. Notre engagement va au-delà des services de beauté pour contribuer positivement à l’écosystème local.
Nos Initiatives Communautaires :
•Partenariats avec des entreprises locales du quartier H3H
•Support aux événements culturels montréalais
•Formation et mentorat pour les professionnels de la beauté
•Participation aux initiatives de développement durable local
Responsabilité Environnementale
Conscients de notre impact environnemental, nous adoptons des pratiques responsables :
•Utilisation de produits respectueux de l’environnement
•Gestion responsable des déchets
•Réduction de notre empreinte carbone
•Sélection de fournisseurs éthiques
Accessibilité et Praticité
Localisation Stratégique
Notre emplacement au 1433 Rue Towers, unit 207, H3H 2E3 a été choisi stratégiquement pour offrir un accès optimal à nos clientes :
Avantages de Notre Localisation :
•Accès facile via le métro et les lignes d’autobus
•Stationnement disponible dans le quartier
•Proximité des centres d’affaires et résidentiels
•Environnement calme et discret
Système de Réservation Moderne
Nous facilitons la prise de rendez-vous grâce à notre système de réservation flexible :
•Réservation en ligne disponible 24h/7j
•Confirmation par SMS pour tous les rendez-vous
•Rappels automatiques 24h avant la visite
•Politique d’annulation flexible et transparente
Contact Direct :
•Téléphone : (514) 743-4446
•Email : Behnoosh_17368@yahoo.com
•Site Web : OpulenceStudio.ca
Forfaits et Options de Fidélisation
Programmes Avantageux
OpulenceStudio propose des forfaits conçus pour récompenser la fidélité de nos clientes tout en optimisant leur investissement beauté :
Forfait Opulence Annuel :
•12 manucures russes pour le prix de 10
•Priorité de réservation
•Consultations gratuites
•Réductions sur les services additionnels
Forfait Beauté Complète :
•Combinaison manucure + extensions de cils + soins capillaires
•Tarifs préférentiels
•Planification personnalisée
•Suivi beauté complet
Programme de Parrainage
Nos clientes satisfaites peuvent faire bénéficier leurs proches d’avantages exclusifs :
•Réduction de 20% pour la première visite des filleules
•Crédit de 25$ pour chaque parrainage réussi
•Événements exclusifs pour les ambassadrices OpulenceStudio
Comparaison avec les Standards Internationaux
Benchmarking International
OpulenceStudio se mesure aux meilleurs salons internationaux spécialisés en manucure russe. Notre niveau d’excellence rivalise avec les établissements de renommée mondiale :
Comparaison avec les Standards Européens :
•Techniques : Conformité totale aux standards européens
•Hygiène : Protocoles équivalents aux cliniques esthétiques
•Formation : Certification par les instituts de référence
•Résultats : Durabilité comparable aux meilleurs salons de Paris et Londres
Cette excellence internationale, adaptée aux spécificités du marché montréalais, positionne OpulenceStudio comme un pont entre l’expertise européenne et les attentes nord-américaines.
Vision d’Avenir : OpulenceStudio 2025-2030
Projets de Développement
Notre vision à moyen terme s’articule autour de l’expansion contrôlée de notre excellence :
Objectifs Stratégiques :
•Maintien de notre position de leader en manucure russe à Montréal
•Introduction de nouvelles techniques avant-gardistes
•Développement de partenariats avec des marques de luxe
•Formation de nouveaux professionnels aux standards OpulenceStudio
Innovation Continue
L’innovation reste au cœur de notre stratégie de développement :
•Recherche et Développement : Collaboration avec les laboratoires de pointe
•Formation Avancée : Partenariats avec les écoles européennes de référence
•Technologie : Intégration des dernières innovations technologiques
•Durabilité : Développement de pratiques encore plus respectueuses de l’environnement
Conclusion : Votre Destination Excellence à Montréal
OpulenceStudio s’est imposé comme la référence incontournable de la manucure russe à Montréal grâce à une combinaison unique d’expertise technique, d’innovation constante et d’engagement envers l’excellence. Notre approche holistique, qui va bien au-delà de la simple prestation de services, crée une expérience transformatrice pour chacune de nos clientes.
Dans un marché concurrentiel, nous nous distinguons par notre formation européenne certifiée, nos protocoles d’hygiène hospitaliers, notre équipement de dernière génération et surtout, notre passion inébranlable pour l’art de la beauté des ongles. Chaque visite chez OpulenceStudio est une promesse tenue : celle de recevoir des soins d’exception dans un environnement luxueux et sécurisé.
Nos 500+ clientes satisfaites témoignent de notre réussite, mais c’est votre satisfaction future qui motive notre engagement quotidien vers l’excellence. Que vous découvriez la manucure russe pour la première fois ou que vous recherchiez un salon capable de dépasser vos attentes les plus élevées, OpulenceStudio vous attend pour une expérience beauté inoubliable.
Rejoignez la communauté des femmes qui ont choisi l’excellence. Réservez votre rendez-vous chez OpulenceStudio et découvrez pourquoi nous sommes le salon de manucure russe de référence à Montréal.
Liens Utiles et Références
Nos Services
•Extensions de Cils Professionnelles
Références Professionnelles
•American Academy of Dermatology – Nail Care
•Santé Canada – Normes Établissements Beauté
•Association Professionnelle Esthétique Québec
Articles Connexes
•Manucure Russe à Montréal : Guide Complet 2025
•Les 7 Avantages de la Manucure Russe
OpulenceStudio Montréal
1433 Rue Towers, unit 207
H3H 2E3, Montréal, Québec
Téléphone : (514) 743-4446
Email : Behnoosh_17368@yahoo.com
Votre salon de référence pour la manucure russe, les extensions de cils et les soins capillaires de luxe à Montréal
